纺织面料热阻和湿阻的回归测量法
2019-08-12 点击:
纺织面料热阻和湿阻依据ISO 11092—1993、ASTM-F1868和GB/T 11048—2008并使用出汗热护式热板仪(后简称出汗热板仪)进行测量。相对于其他保温率和透湿率测试仪器,出汗热板仪在面料的隔热和透湿性能测量的适用性和统一性较高,因此在ISO 11092—1993发布后,其逐渐成为在国际上广泛认可的仪器[1-5]。 目前用于测量织物热阻及湿阻的出汗热板仪主要有美国西北测试技术公司生产的SGHP型出汗热板仪和ADL Atlas公司生产的M259B型出汗热板仪及国产YG 606G型出汗热板仪。出汗热板仪与干式热板仪的区别在于是否加装了出汗系统[6], 两者在热阻测量方面没有区别。
在实际测量中由于仪器之间存在系统差异及稳定性不同等原因,测量结果间仍存在较大误差。文献[7]对比了YG 606E型与YG 606D型干热板仪依据国际标准测量相同面料的热阻值差异达21.5%; 文献[8]发现YG 606E型干热板仪和SGHP型出汗热板仪测得的热阻值存在31%的差异; 对比文献[6]和[9]发现,在同一标准下使用SGHP型与M259B型出汗热板仪测得的空板热阻值和湿阻值,平均值差异分别达到54%和87%。
文献[8,10]对热护式热板仪的基础结构和外风道系统进行了剖析,指出系统设计问题对系统误差的影响。除仪器本身的系统误差和随机误差外,测量方法本身可能存在的缺陷或是造成测量不准确的重要原因。
在热板仪测量面料热阻和湿阻时,环境风速是重要的影响因素。文献[11]试验证明面料的总热阻和总湿阻与风速呈反比下降。 文献[12-15]研究表明服装在假人上的热阻和湿阻测试结果与在热板仪上相似。
本文在研究纺织面料热阻和湿阻传统测量法可能存在问题的基础上,提出回归测量法理论,设计了不同风速条件来测量各环境条件下的面料热阻与湿阻,并与传统测量方法进行比较,分析讨论了回归测量法的测量结果与传统方法测量产生误差的原因。
1 测量理论
1.1 传统测量法
按照ISO11092—1993、ASTM-F1868及GB/T 11048—2008的相关定义, 面料的热阻由热板仪测量,而湿阻由具有出汗功能的出汗热板仪测量。首先测量热板仪空板热阻或湿阻,再放置面料,测量面料及空气层的总热阻或总湿阻,之后再减去空板热阻或湿阻值,即为面料的热阻或湿阻值,其计算公式如(1)所示。
Rf=Rt-R0
式中: Rf为面料热阻或湿阻; Rt为面料及空气层的总热阻或总湿阻; R0 为空板时所测空气层热阻或湿阻。
然而,由于测量空板热阻时测量表面是粗糙金属,测量空板湿阻时测量表面为纤维素出汗薄膜,而面料表面则是多孔隙交错的纤维表面,其向外的热辐射力是不同的[16],传导和对流也会因表面的形态不同而不同。因此,将热板表面空气层的热阻或湿阻等同于面料表面空气层热阻或湿阻,这是一种假设,在热板仪测量薄型面料热阻时,常出现负值,可能就是该原因导致的。
1.2 回归测量法
热板仪常采用标样多层叠加测量进行校准,若每层的热阻或湿阻都是独立的,那么多层标样的热阻或湿阻串联相加符合传热传质学中热阻或湿阻的串联原理。文献[4]也证实多层叠加标准面料的热阻与面料层数基本成线性变化,线性拟合度大于0.9。
根据热阻串联原则,在测量面料热阻的过程中,通过各层面料的热流量相同。另外,当多层面料自然平铺叠加时,受重力影响,面料之间空气层基本为零,多层面料热阻值近似等于各层面料热阻和上层静止空气层热阻之和。根据传热传质相似原理,湿阻的测量也与热阻测量相似。因此,多层叠加面料的热阻或湿阻的计算如式(2)所示。
Rtn=nRf+Rf0
式中: Rtn为相应层数面料及空气层的总热阻或湿阻; n为面料层数,n=1,2,3,…; Rf为单层面料热阻或湿阻; Rf0为面料上方空气层的热阻或湿阻。
回归测量法测量面料热阻及湿阻的原理如图1所示,其核心在于1~n层的总热阻或总湿阻测量。根据面料层数n以及各层面料所测得的总热阻及总湿阻值Rtn进行回归,得到的回归系数即为单层面料的热阻或湿阻Rf,回归常数即为面料上表面空气层的热阻或湿阻Rf0。从理论上讲,回归测量法解决了传统方法中空板空气层热阻及湿阻和面料上方空气层热阻及湿阻不同的问题,可以精确测量面料的热阻、湿阻及面料上方空气层的热阻、湿阻。

2 试验条件与方法
2.1 试验条件
ISO 11092—1993、GB/T 11048—2008及ASTM-F1868对热阻和等温湿阻的测量方法基本相同,但ASTM-F1868-02 Part C因涉及非等温湿阻的测量与该标准下的热阻相关联,同时此热阻的测量环境温度比ISO 11902—1993及GB/T 11048—2008中的热阻测量环境温度高5 ℃,但文献[6]研究表明5 ℃的环境温度差异对热阻的测量结果影响不大。因此综合考虑后采用表1的试验条件,即热阻和非等温湿阻参照ASTM-F1868-02 Part C,而等温湿阻参照ASTM-F1868-02 Part B。本试验使用美国西北测试技术公司生产的SGHP-10.5型出汗热板仪。

2.2 试验方法
预试验在风速为0.5和1.5 m/s条件下,随机选择2种面料进行多层叠加面料热阻和湿阻的测量,发现当面料在叠加至5层时出现严重润湿情况,导致测量结果难以稳定,因此确定正式试验的面料层数为1~4。
正式试验选择包含标准面料在内的9种不同厚度纺织面料,使用YG(B)141D型数字式织物厚度仪对试验面料进行厚度测量,使用精确到毫克的天平秤进行织物的面密度测量,结合使用燃烧法、化学溶解法进行纤维成分的判断,得到面料基本信息如表2所示。

依据传统测量方法在各风速条件下测量3次单层面料总热阻、等温总湿阻和非等温总湿阻,以及对应空板的热阻、等温湿阻和非等温湿阻。将所得到的面料总热阻、等温湿阻及非等温湿阻减去对应空板热阻、等温湿阻和非等温湿阻,所得面料热阻、等温湿阻、非等温湿阻记为Rcf、B-Ref、C-Ref,空板热阻、等温湿阻及非等温湿阻记为Rcf0、B-Ref0、C-Ref0。
在不同风速条件下测量1至4层叠加面料的总热阻、等温总湿阻及非等温总湿阻。将所得数据与面料层数进行线性回归,所得回归系数即为回归测量法所得单层面料的热阻、等温湿阻、非等温湿阻,记为Rcf*、B-Ref*、C-Ref*,所得回归常数即为回归测量法所得面料上方空气层热阻、等温湿阻、非等温湿阻,记为Rcf0*、B-Ref0*、C-Ref0*。
需要指出的是,传统测量法测量一块面料的热阻或湿阻连同空板值需要进行4次试验,而回归测量法无需测量空板值,4次叠加也仅需要进行4次试验。
3 试验结果与分析
3.1 标准面料回归图
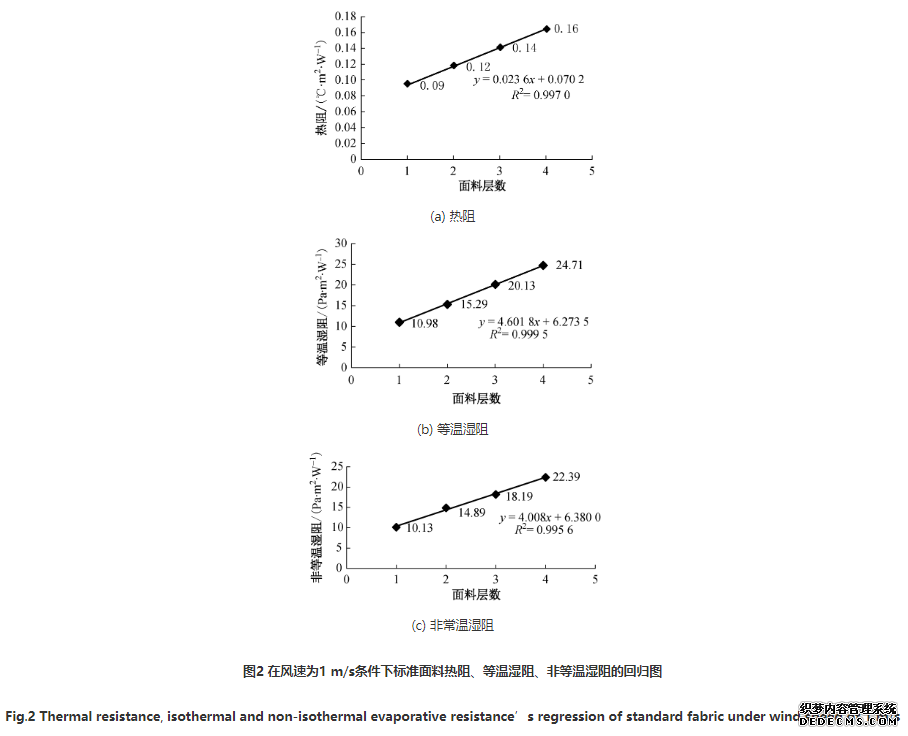
对9种面料的热阻、等温湿阻和非等温湿阻分别进行回归拟合,三者的回归拟合度均值分别为0.99、0.98、0.99,均属于高度拟合。
1#面料是美国西北测试技术公司随SGHP-10.5型出汗热板仪一起提供的标准面料,紧度和厚度均为中等的腈纶平纹织物,经测试可知其经过拒水处理。在风速为1 m/s条件下1#面料热阻、等温湿阻和非等温湿阻回归如图2所示。

3.2 面料及空气层测量结果分析
在3种风速条件下传统测量法和回归测量法测得的面料热阻、等温湿阻和非等温湿阻的对比如图3所示。

在3种风速下回归测量法与传统测量法所测得各面料上方空气层热阻、等温湿阻和非等温湿阻的对比如图4所示。

综合分析图3和4可知:
(1)将回归法得到的面料热阻或湿阻分别与对应空气层的热阻或湿阻相加得到面料的总热阻或总湿阻,与传统测量法所得到面料的总热阻或总湿阻相似,均随风速的增加而下降,与文献[11]的测量结果相似。
(2)在面料的总热阻及总湿阻随风速增加而下降的同时,面料本身的热阻及湿阻也应同步下降,这是多孔介质纺织面料的基本特性。然而,使用热板仪按传统方法测量的结果却并非如此,特别是针对面料热阻的测量。虽然空气层热阻随风速增加而下降,但9种面料中有7种面料的热阻随风速的增大而增大,还有一种较薄面料(7#)在风速为0.5 m/s条件下,其热阻出现负值,这都与空板空气层热阻值不正常变化有关,导致测试结果与实际情况不符。文献[11]中仅公布了面料总热阻和湿阻随风速增加而下降的情况,却没有公布面料本身的热阻和湿阻值,或许碰到了相似难以解释的情况(其使用的出汗热板仪和本文相同)。由此说明,出汗热板仪在使用过程中将空板热阻值来代替面料上表面空气层热阻值存在较大问题。而回归法测量的大部分面料上方空气层热阻比传统测量的空板热阻小,使面料热阻随风速增加而大幅增加的不正常现象得到基本遏制,同时消除了测量热阻时出现负值的情况。因此回归法能有效修正热阻测量的系统误差。
(3)传统方法测量的等温湿阻并未像热阻一样出现随风速增大而增大的情况,多数面料的非等温湿阻随风速增加而下降。相比热阻而言,同一面料不同风速下的等温湿阻值相对差异较小,推测面料等温湿阻随风速的变化较小,而这种变化又被掩盖在随机误差之下。 相对于传统空板测量法,回归法测量的空气层等温湿阻波动较大, 可能由于不同面料表面与热板仪出汗纤维膜表面的差异所造成,但也包含了随机误差。
(4)非等温湿阻的测量由于带入了干热阻的测量值,其误差也一并带入,因此面料及空气层的非等温湿阻值的波动也比等温湿阻大。
4 结 语
本文提出了面料热阻和湿阻的回归测量法,该方法通过测量逐层叠加面料的总热阻和总湿阻,进行线性回归直接得到单层面料的热阻和湿阻及其上方空气层的热阻、湿阻,从原理上解决了传统测量法中空板上方空气层热阻和湿阻与面料上方空气层热阻和湿阻并不一致的问题。
回归测量法试验充分发挥了热板仪在测量面料总热阻和总湿阻方面灵敏度高的优势,在面料的热阻、等温湿阻和非等温湿阻的回归中均得到了很高的线性拟合度。
试验结果表明: 在热阻测量方面,回归法大大改善了测量的准确度,使面料的热阻基本呈现随风速增加而下降,完全克服了薄型面料常出现的热阻为负值情况; 在等温湿阻测量方面,相对于传统测量法,回归法的测量结果改善不明显;非等温湿阻由于两级运算导致数值波动较大,还特别涉及出汗蒸发传递机制,有待于进一步研究。


